2013年
2013年6月27日

ミネベア株式会社
取締役に対する株式報酬型ストックオプション(新株予約権)の発行に関するお知らせ
当社は、平成25年6月27日開催の取締役会において、会社法第236条、第238条及び第240条の規定に基づき、当社の取締役(社外取締役を除く。)に対して株式報酬型ストックオプションとして下記の内容の新株予約権を発行することを決議いたしましたので、下記のとおりお知らせいたします。
記
Ⅰ. 取締役に対する株式報酬型ストックオプションを発行する理由
当社は、役員報酬体系の見直しの一環として、取締役の報酬制度に関し当社業績及び株式価値との連動性を明確にし、中長期的な業績向上と企業価値向上への貢献意欲を高めること、及び株主との価値共有を進めることを目的に、当社の取締役に対する株式報酬型ストックオプションとしての新株予約権を発行いたします。
Ⅱ. 新株予約権の発行要項
1. 新株予約権の名称
ミネベア株式会社 2013年発行第2回新株予約権
2. 新株予約権の割当対象者及びその人数並びに割り当てる新株予約権の総数
当社取締役(ただし、社外取締役を除く。) 7名 420個
ただし、上記総数は、割当予定数であり、引受けの申込みがなされなかった場合等、割り当てる新株予約権の総数が減少したときは、割り当てる新株予約権の総数をもって発行する新株予約権の総数とする。
3. 新株予約権の目的である株式の種類及び数
新株予約権の目的である株式の種類は当社普通株式とし、新株予約権1個当たりの目的である株式の数(以下「付与株式数」という。)は100株とする(なお、新株予約権の目的である株式の総数は42,000株が当初の上限となる。)。
ただし、新株予約権の割当日後に、当社が株式の分割又は併合を行う場合には、次の算式により付与株式数の調整を行う。
調整後付与株式数 = 調整前付与株式数 × 株式分割又は株式併合の比率
調整後付与株式数は、株式分割の場合は、当該株式分割の基準日の翌日(基準日を定めないときは、その効力発生日)以降、株式併合の場合は、その効力発生日以降、これを適用する。
また、上記のほか、割当日以降、合併、会社分割、株式交換、株式無償割当てを行う場合その他付与株式数の調整を必要とする場合には、当社は、必要かつ合理的な範囲で付与株式数を適切に調整することができるものとする。
なお、上記の調整の結果生じる1株未満の端数は、これを切り捨てるものとする。
4. 新株予約権の行使に際して出資される財産の価額
各新株予約権の行使に際してする出資の目的は金銭とし、各新株予約権の行使に際して出資される財産の価額は、当該各新株予約権を行使することにより交付を受けることができる株式1株当たりの金額を1円とし、これに付与株式数を乗じた金額とする。
5. 新株予約権を行使することができる期間
新株予約権の割当日の翌日から平成55年7月15日までとする。
6. 新株予約権の行使により株式を発行する場合における増加する資本金及び資本準備金に関する事項
- (1)新株予約権の行使により株式を発行する場合において増加する資本金の額は、会社計算規則第17条第1項の規定に従い算出される資本金等増加限度額の2分の1の金額とし、計算の結果1円未満の端数が生じたときは、その端数を切り上げるものとする。
- (2)新株予約権の行使により株式を発行する場合において増加する資本準備金の額は、上記(1)記載の資本金等増加限度額から上記(1)に定める増加する資本金の額を減じた額とする。
7. 譲渡による新株予約権の取得の制限
譲渡による新株予約権の取得については、当社取締役会の承認を要するものとする。
8. 新株予約権の取得条項
以下の各号の議案につき当社株主総会で承認された場合(株主総会決議が不要の場合は、当社取締役会決議がなされた場合)は、当社は、当社取締役会が別途定める日に、新株予約権を無償で取得することができる。
- (1)当社が消滅会社となる合併契約承認の議案
- (2)当社が分割会社となる分割契約又は分割計画承認の議案
- (3)当社が完全子会社となる株式交換契約又は株式移転計画承認の議案
- (4)当社が会社法第171条第1項に基づき全部取得条項付種類株式の全部を取得することを承認する議案
- (5)当社の発行する全部の株式の内容として、譲渡による当該株式の取得について当社の承認を要することについての定めを設ける定款の変更承認の議案
- (6)新株予約権の目的である種類の株式の内容として、譲渡による当該種類の株式の取得について当社の承認を要すること又は当該種類の株式について当社が株主総会の決議によってその全部を取得することについての定めを設ける定款の変更承認の議案
9. 組織再編行為に伴う新株予約権の交付に関する事項
当社が、合併(当社が合併により消滅する場合に限る。)、吸収分割もしくは新設分割(それぞれ当社が分割会社になる場合に限る。)又は株式交換もしくは株式移転(それぞれ当社が完全子会社となる場合に限る。)(以上を総称して以下「組織再編行為」という。)をする場合には、組織再編行為の効力発生日(吸収合併につき吸収合併が効力を生ずる日、新設合併につき新設合併設立株式会社の成立の日、吸収分割につき吸収分割がその効力を生ずる日、新設分割につき新設分割設立株式会社の成立の日、株式交換につき株式交換がその効力を生ずる日及び株式移転につき株式移転設立完全親会社の成立の日をいう。以下同じ。)の直前において残存する新株予約権(以下「残存新株予約権」という。)を保有する新株予約権者に対し、それぞれの場合につき、会社法第236条第1項第8号のイからホまでに掲げる株式会社(以下、総称して「再編対象会社」という。)の新株予約権をそれぞれ以下の条件に基づき交付するものとする。この場合においては、残存新株予約権は消滅するものとする。ただし、以下の条件に沿って再編対象会社の新株予約権を交付する旨を、吸収合併契約、新設合併契約、吸収分割契約、新設分割計画、株式交換契約又は株式移転計画において定めた場合に限るものとする。
- (1)交付する再編対象会社の新株予約権の数
新株予約権者が保有する残存新株予約権の数と同一の数をそれぞれ交付する。 - (2)新株予約権の目的である再編対象会社の株式の種類
再編対象会社の普通株式とする。 - (3)新株予約権の目的である再編対象会社の株式の数
組織再編行為の条件等を勘案の上、上記3.に準じて決定する。 - (4)新株予約権の行使に際して出資される財産の価額
交付される各新株予約権の行使に際してする出資の目的は金銭とし、出資される財産の価額は、当該各新株予約権を行使することにより交付を受けることができる再編対象会社の株式1株当たりの金額を1円とし、これに上記(3)に従って決定される当該各新株予約権の目的である再編対象会社の株式の数を乗じた金額とする。 - (5)新株予約権を行使することができる期間
上記5.に定める新株予約権を行使することができる期間の開始日と組織再編行為の効力発生日のうちいずれか遅い日から、上記5.に定める新株予約権を行使することができる期間の満了日までとする。 - (6)新株予約権の行使により株式を発行する場合における増加する資本金及び資本準備金に関する事項
上記6.に準じて決定する。 - (7)譲渡による新株予約権の取得の制限
新株予約権を譲渡により取得するには、再編対象会社の取締役会の承認を要するものとする。 - (8)新株予約権の取得条項
上記8.に準じて決定する。 - (9)その他の新株予約権の行使の条件
下記11.に準じて決定する。
10. 新株予約権を行使した際に生じる1株に満たない端数の取扱い
新株予約権を行使した新株予約権者に交付する株式の数に1株に満たない端数が生じた場合には、これを切り捨てるものとする。
11. その他の新株予約権の行使の条件
- (1)新株予約権者は、上記5.の期間内において、当社取締役の地位を喪失した日の翌日から10日(10日目が休日に当たる場合には翌営業日)を経過する日までの間に限り、新株予約権を一括してのみ行使することができるものとする。
- (2)新株予約権者が死亡した場合、当該新株予約権者の相続人のうち1名(以下「権利承継者」という。)に限り、新株予約権を承継することができるものとする。権利承継者は、上記(1)に拘わらず、当該被相続人が死亡した日の翌日から6ヶ月を経過するまでの間に限り、新株予約権を一括してのみ行使することができるものとする。なお、権利承継者が死亡した場合、権利承継者の相続人は新株予約権をさらに承継することはできない。
- (3)各新株予約権の一部を行使することはできないものとする。
- (4)新株予約権者が新株予約権を放棄した場合には、当該新株予約権を行使することはできないものとする。
12. 新株予約権の払込金額又はその算定方法
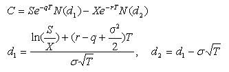
各新株予約権の払込金額は、次式のブラック・ショールズモデルにより以下の基礎数値に基づき算定した1株当たりのオプション価格に付与株式数を乗じた金額(1円未満の端数は切り上げる。)とする。

① 1株当たりのオプション価格(C) | ||
---|---|---|
② 株価(S) | : | 平成25年7月16日の東京証券取引所における当社普通株式の普通取引の終値(終値がない場合は、翌取引日の基準値段) |
③ 行使価格(X) | : | 1円 |
④ 予想残存期間(T) | : | 4.6年 |
⑤ ボラティリティ(σ) | : | 4.6年間(平成20年12月9日から平成25年7月16日まで)の各取引日における当社普通株式の普通取引の終値に基づき算出 |
⑥ 無リスクの利子率(r) | : | 残存年数が予想残存期間に対応する国債の利子率 |
⑦ 配当利回り(q) | : | 直近年度の配当総額÷上記②で定める株価 |
⑧ 標準正規分布の累積分布関数(N(・)) |
なお、上記により算出される金額は新株予約権の公正価格であり、有利発行には該当しない。また、新株予約権の割当てを受ける者は、会社法第246条2項の規定に基づき、当該払込金額の払込みに代えて、当社に対して有する報酬債権と新株予約権の払込金額の債務とを相殺するものとする。
13. 新株予約権を割り当てる日
平成25年7月16日
14. 新株予約権証券
新株予約権にかかる新株予約権証券は発行しない。
以上
会社名 | ミネベア株式会社 |
---|---|
代表者名 | 代表取締役 社長執行役員 貝沼 由久 (コード番号 6479 東証第1部) |
問合せ先 | 人事部長 木村 尚行 (TEL: 03-6758-6712) |
ここに掲載されている情報は、発表日現在の情報です。製品または商品の仕様変更・販売終了等により、最新の情報と異なる場合がございますので、ご了承ください。